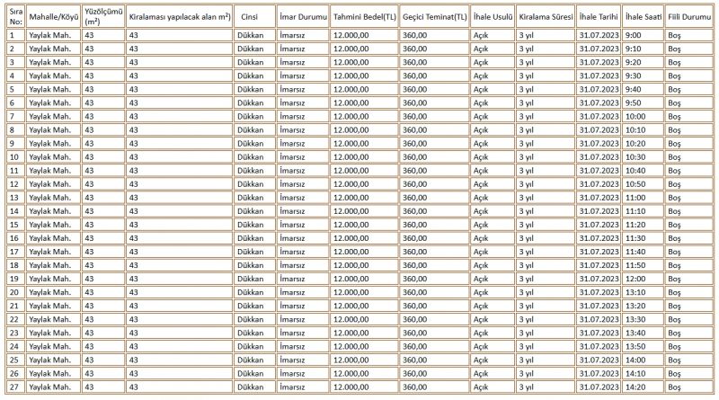
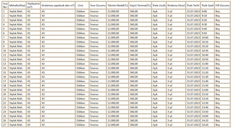
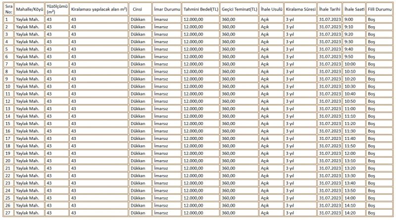
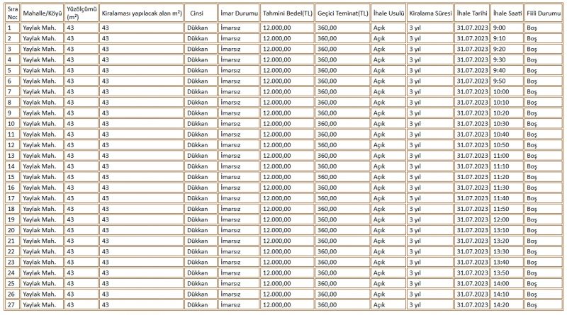
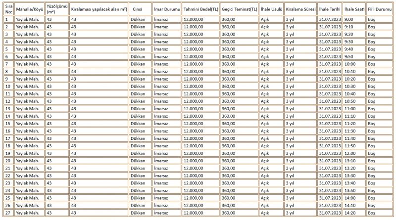
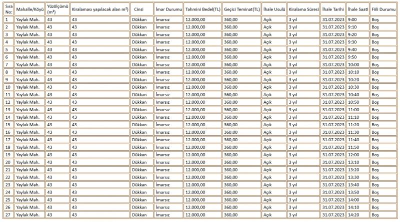
Yukarıda Özellikleri belirtilen kiralama ihalesi 2886 sayılı Devlet İhale Kanunu’nun 45. Maddesi gereğince Açık Teklif Usulü ile, Bozova Belediye Başkanlığında toplanacak komisyon huzurunda yapılacaktır.
1-İhalelere ilişkin şartname ve ekleri mesai saatleri dahilinde Yazı İşleri Müdürlüğünde bedelsiz olarak görülebilir.
2-Her türlü resim, harç ve vergi alıcıya aittir.
3-İhaleye katılmak isteyen isteklilerin ikametgah senedi, T.C. numaralı nüfus cüzdanı örneği, geçici teminat mektubu makbuzu veya teminat mektubu, Adli sicil kaydı, özel kişiler adına vekaleten ihaleye giren kişilerden noterden tasdikli vekaletname, tüzel kişilerde yetkili makamdan 2023 yılı içinde alınmış tüzel kişiliğin sicile kayıtlı olduğunu gösterir belge, teklifte bulunacak kişilerin Tüzel Kişiliğe temsile yetkili olduklarını gösterir Noterden tasdikli Yetki Belgesi ve İmza Sirküleri ile birlikte ihale saatinde komisyon huzurunda hazır bulunmaları gerekmektedir.
4-Postayla yapılacak başvurularda tekliflerin ihale saatinden önce komisyon başkanlığına ulaşması gerekmektedir. Postadaki gecikmeler dikkate alınmaz.
5-Geçici teminatın, 1620050838 vergi kimlik numaralı T.C Ziraat Bankası TR 62 0001 0004 6728 1404 8650 10 İBAN nolu banka hesabına yatırılacağı gibi bankalardan ve özel finans kurumlarından alınacak süresiz geçici teminat mektubu ile verilmesi halinde mektubun şekil ve içeriğinin 2886 Sayılı Kanunun 27. maddesi ve bu kanun uyarınca yayınlanmış Devlet İhale Genelgelerinde belirtilen şartları taşıması gerekmektedir.
6-İhalesi üzerinde kalan müşteri kiralama bedelini peşin yatıracak olup, taksit yapılmayacaktır.
7-Komisyonumuz ihaleyi yapıp yapmamakta serbesttir.
